比赛场次 617
比赛名称 2024暑假C班集训7
比赛状态 已结束比赛成绩
开始时间 2024-07-07 08:00:00
结束时间 2024-07-07 12:00:00
开放分组 全部用户
组织者 梦那边的美好ET
注释介绍 题目难度:T3=T4<T1<T2 简单水题场
题目名称 收益
输入输出 x.in/out
时间限制 3000 ms (3 s)
内存限制 512 MiB
测试点数 20 简单对比
用户 结果 时间 内存 得分
GravatardarkMoon AAAAAAAAATTTTTTTTTTT
52.048 s 319.21 MiB 45
Gravatar123 WWWWWWWWWWWWWWWWWWWW
0.072 s 3.43 MiB 0
Gravatarwzh0425 WWWWWWWWWWWWWWWWWWWW
0.122 s 3.50 MiB 0
GravatarUntitled WWWWWWWWWWWWWWWWWWWW
0.124 s 3.95 MiB 0

1. 收益

★★☆   输入文件:x.in   输出文件:x.out  
时间限制:3 s   内存限制:512 MiB

【题目描述】

【输入格式】

【输出格式】

【样例输入】

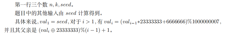
233 50 6666

【样例输出】

90749145069

【提示】

k与n同阶!