比赛场次 290
比赛名称 20160229
比赛状态 已结束比赛成绩
开始时间 2016-02-29 19:00:00
结束时间 2016-02-29 22:00:00
开放分组 全部用户
组织者 cqw
注释介绍
题目名称 距离咨询
输入输出 dquery.in/out
时间限制 1000 ms (1 s)
内存限制 256 MiB
测试点数 10 简单对比
用户 结果 时间 内存 得分
Gravatar膜拜神犇张子昂 AAAAAAAAAA 0.055 s 3.03 MiB 100
Gravatar膜拜神犇张灵犀 AAAAAAAAAA 0.060 s 3.03 MiB 100
Gravatarmikumikumi AAAAAAAAAA 0.441 s 6.88 MiB 100
Gravatar张灵犀不和我一般见识真可怕呢(笑 AWWWWWWWWW 0.457 s 6.87 MiB 10
GravatarTwist Fate MMMMMMMMMM 0.000 s 0.00 MiB 0

2. 距离咨询

★★   输入文件:dquery.in   输出文件:dquery.out  
时间限制:1 s   内存限制:256 MiB

【题目描述】

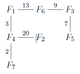
农夫约翰有$N$($2<=N<=40000$)个农场,标号$1$到$N$。$M(2<=M<=40000)$条的不同的垂直或水平的道路连结着农场,道路的长度不超过$1000$.这些农场的分布就像下面的地图一样,图中农场用$F_1..F_7$表示:

每个农场最多能在东西南北四个方向连结$4$个不同的农场。此外,农场只处在道路的两端。道路不会交叉而且每对农场间有且仅有一条路径。邻居鲍伯要约翰来导航,但约翰丢了农场的地图,他只得从电脑的备份中修复率。每一条道路的信息如下:

    从农场$23$往南经距离$10$到达农场$17$

    从农场$1$往东经距离7到达农场$17$

    . . .

最近美国过度肥胖非常普遍。农夫约翰为了让他的奶牛多做运动,举办了奶牛马拉松。马拉松路线要尽量长。

奶牛们拒绝跑马拉松,因为她们悠闲的生活无法承受约翰选择的如此长的赛道。因此约翰决心找一条更合理的赛道。他打算咨询你。读入地图之后会有$K$个问题,每个问题包括$2$个整数,就是约翰感兴趣的$2$个农场的编号,请尽快算出这$2$个农场间的距离。

【输入格式】

第$1$行:两个分开的整数$N$和$M$。

第$2$到$M+1$行:每行包括$4$个分开的内容,$F_1,F_2,L,D$分别描述两个农场的编号,道路的长度,$F_1$到$F_2$的方向$N,E,S,W$。

第$2+M$行:一个整数$K(1<=K<=10000)$.

第$3+M$到$2+M+K$行:每行输入$2$个整数,代表$2$个农场。

【输出格式】

对每个问题,输出单独的一个整数,给出正确的距离。

【样例输入】

7 6
1 6 13 E
6 3 9 E
3 5 7 S
4 1 3 N
2 4 20 W
4 7 2 S
3
1 6
1 4
2 6

【样例输出】

13
3
36

【提示】

农场$2$到农场$6$有$20+3+13=36$的距离。

【来源】

$Brian$ $Dean,2004$

$USACO$ $2004$ $February$ $Contest$ $Green$ $Problem$ $3$ $Distance$ $Queries$

$Translate$ $by:庄乐$