题目名称 430. 烟花的寿命
输入输出 firework.in/out
难度等级 ★☆
时间限制 1000 ms (1 s)
内存限制 128 MiB
测试数据 5
题目来源 Gravatarcqw 于2010-04-19加入
开放分组 全部用户
提交状态
分类标签
图论
分享题解
通过:0, 提交:8, 通过率:0%
Gravatarnnnnnn 0 0.000 s 0.29 MiB C++
Gravatarnnnnnn 0 0.000 s 0.30 MiB C++
Gravataryellow fish 0 0.088 s 0.33 MiB C++
GravatarSky_miner 0 0.151 s 0.32 MiB C++
GravatarJustpenz233 0 0.228 s 0.34 MiB C++
Gravatarlc 0 0.767 s 4.11 MiB C++
GravatarSky_miner 0 0.990 s 57.55 MiB C++
Gravatar苏轼 0 2.015 s 1.23 MiB C++
本题关联比赛
20100419
关于 烟花的寿命 的近10条评论(全部评论)
烟花的寿命江会是无穷大
Gravatar+1s
2018-02-05 09:20 1楼

430. 烟花的寿命

★☆   输入文件:firework.in   输出文件:firework.out   简单对比
时间限制:1 s   内存限制:128 MiB
【问题描述

见过夜空中美丽的烟花吗,它们总是由一个块炸成多块,可能还会继续分裂成更小的块。然而,并不是每块都会继续发光。如果把一个烟花炸开的整个过程中的亮点记录下来,并给所有爆炸点标上号,你能算出它最长可能的存活时间吗?(指第一次爆炸到最后一次之间间隔的时问,假设任意两次相邻的爆炸时间间隔都是1秒)。
输入格式】
(输入文件名fireworlk.in)
第1行一个数T,说明输入文件中共T组数据。每组的第l行是爆炸的总数N(1
输出格式】
(输出文件名fireworlk.out)
对每组输入,输出若干行。第1行是最长的时间x(秒),接着输出x+1个数,每数占一行,给出最长时间是怎样达到的(从哪个点开始,经过哪些点)。如果存在多解,则任意输出一组解。
输入输出样例】
输入(firework.in)
2
3
1 2
1 3
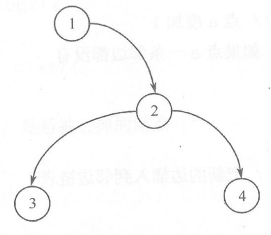
4
1 2
2 4
3 2
输出(firework.out)
2
2
1
3
2
1
2
4
图为样例中第2组输出的示意图。