题目名称 4091. [NOIP 2024]树的遍历
输入输出 traverse.in/out
难度等级 ★★★★
时间限制 1000 ms (1 s)
内存限制 512 MiB
测试数据 25
题目来源 Gravatarsyzhaoss 于2024-12-04加入
开放分组 全部用户
提交状态
分类标签
容斥原理 树形DP
分享题解
通过:1, 提交:3, 通过率:33.33%
Gravatarflyfree 100 7.160 s 14.96 MiB C++
Gravatardjyqjy 4 2.340 s 3.50 MiB C++
Gravatardjyqjy 4 2.559 s 3.52 MiB C++
本题关联比赛
2025.1.14
关于 树的遍历 的近10条评论(全部评论)

4091. [NOIP 2024]树的遍历

★★★★   输入文件:traverse.in   输出文件:traverse.out   简单对比
时间限制:1 s   内存限制:512 MiB

【题目描述】

小 Q 是一个算法竞赛初学者,正在学习图论知识中的树的遍历。一棵由 $n$ 个结点,$n - 1$ 条边构成的树,初始时所有结点都未被标记,它的遍历过程如下:

1. 选择一个结点 $s$ 作为遍历起始结点,并把该结点打上标记。

2. 假设当前访问的结点为 $u$,寻找任意一个与 $u$ 相邻且未标记的结点 $v$,将 $v$ 作为新的当前访问结点并打上标记。之后再次进入第 $2$ 步。

3. 假设在第 $2$ 步中,与 $u$ 相邻的结点都已被标记,如果 $u = s$ 则遍历过程结束,否则将 $u$ 设为遍历 $u$ 之前的上一个结点并再进入第 $2$ 步。

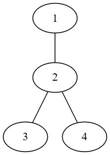
例如在下面的树中,一种可能的遍历过程如下:

选取 $1$ 作为遍历起始结点,并把 $1$ 打上标记;

$2$ 与 $1$ 相邻且未标记,将 $2$ 设为当前访问结点,并把 $2$ 打上标记。

$2$ 与 $3$ 相邻且未标记,将 $3$ 设为当前访问结点,并把 $3$ 打上标记。

$3$ 所有相邻的结点都被标记,将当前访问结点设为遍历结点 $3$ 之前的结点 $2$。

$2$ 与 $4$ 相邻且未标记,将 $4$ 设为当前访问结点,并把 $4$ 打上标记。

$4$ 所有相邻的结点都被标记,将当前访问结点设为遍历结点 $4$ 之前的结点 $2$。

$2$ 所有相邻的结点都被标记,将当前访问结点设为遍历结点 $2$ 之前的结点 $1$。

$1$ 所有相邻的结点都被标记,且 $1$ 是遍历起始结点,故遍历结束。

作为一个奇思妙想的学生,小 Q 在学习完上述知识后不满足于以结点为基础的遍历方式,于是开始研究以边为基础的遍历方式。定义两条边**相邻**,当且仅当它们有一个公共的结点。初始时,所有的边都未被标记。这种以边为基础的遍历过程如下:

1. 选择一条边 $b$ 作为遍历起始边,并把该边打上标记。

2. 假设当前访问边为 $e$,寻找任意一条与 $e$ 相邻且未标记的边 $f$,将 $f$ 作为新的当前访问边并打上标记。之后再次进入第 $2$ 步。

3. 假设在第 $2$ 步中,与 $e$ 相邻的边都已被标记,如果 $e = b$ 则遍历过程结束,否则将 $e$ 设为遍历 $e$ 之前的上一条边并再进入第 $2$ 步。

例如在上面的树中,一种可能的遍历过程如下(定义 $\{u, v\}$ 表示连接结点 $u$ 和 $v$ 的边):

选取 $\{1, 2\}$ 作为遍历起始边,并把 $\{1, 2\}$ 打上标记;

$\{1, 2\}$ 与 $\{2, 3\}$ 相邻且未标记,将 $\{2, 3\}$ 设为当前访问边,并把 $\{2, 3\}$ 打上标记。

$\{2, 3\}$ 与 $\{2, 4\}$ 相邻且未标记,将 $\{2, 4\}$ 设为当前访问边,并把 $\{2, 4\}$ 打上标记。

$\{2, 4\}$ 所有相邻的边都被标记,将当前访问边设为遍历 $\{2, 4\}$ 之前的边 $\{2, 3\}$。

$\{2, 3\}$ 所有相邻的边都被标记,将当前访问边设为遍历 $\{2, 3\}$ 之前的边 $\{1, 2\}$。

$\{1, 2\}$ 所有相邻的边都被标记,且 $\{1, 2\}$ 是遍历起始边,故遍历结束。

小 Q 惊奇的发现,在这个新的树的遍历过程中,如果将每条边看作一个新的结点,将步骤 $2$ 中的所有新结点 $e$ 和 $f$ 连接一条新边,就会生成一棵由 $n-1$ 个新结点和 $n-2$ 条新边连接成的新树。例如上述遍历过程得到的新树如下(新的结点和新边都用红色表示):

现在小 Q 在 $n - 1$ 条边中选择了 $k$ 条关键边。小 Q 想知道,以任意一条关键边作为起始遍历边,通过上述遍历过程能够生成多少种不同的新树。这里两棵树被认为是不同的,当且仅当至少存在某一对新的结点,它们仅在其中一棵树中连有新边。

由于结果可能很大,你只需要输出其对 $10^9+7$ 取模的结果即可。

【输入格式】

本题有多组测试数据。

输入的第一行包含两个整数 $c, T$,表示测试点的编号和测试数据的组数。在样例中,$c$ 表示该样例与测试点 $c$ 的数据范围相同。

接下来包含 $T$ 组数据,每组数据的格式如下:

·第一行包含两个整数 $n, k$,表示树的结点数以及小 Q 选择的关键边的数量。

·接下来 $n - 1$ 行,第 $i$ 行包含两个整数 $u_i, v_i$,表示树上编号为 $i$ 的边连接结点 $u_i$ 和 $v_i$。

·接下来一行包含 $k$ 个整数 $e_1, e_2, \dots, e_k$,表示小 Q 选择的关键边的编号。保证关键边的编号互不相同。

【输出格式】

对于每组测试数据输出一行,包含一个整数,表示结果对 $10^9 + 7$ 取模的结果。

【样例1输入】

1 1
4 1
1 2
2 3
2 4
1

【样例1输出】

2

【样例1说明】

两种可能的新树如下:

新结点 $\{1, 2\}$ 和新结点 $\{2, 3\}$ 连新边,新结点 $\{2, 3\}$ 和新结点 $\{2, 4\}$ 连新边。

新结点 $\{1, 2\}$ 和新结点 $\{2, 4\}$ 连新边,新结点 $\{2, 4\}$ 和新结点 $\{2, 3\}$ 连新边。

【样例2输入】

7 1
5 2
1 2
1 3
2 4
2 5
1 3

【样例2输出】

3

【样例2说明】

三种可能的新树如下:

新结点 $\{1, 2\}$ 和 $\{1, 3\}$,$\{1, 2\}$ 和 $\{2, 4\}$,$\{2, 4\}$ 和 $\{2, 5\}$ 之间分别连新边。该新树可以选择 $\{1, 2\}$ 作为起始遍历边得到。

新结点 $\{1, 2\}$ 和 $\{1, 3\}$,$\{1, 2\}$ 和 $\{2, 5\}$,$\{2, 5\}$ 和 $\{2, 4\}$ 之间分别连新边。该新树可以选择 $\{1, 2\}$ 或 $\{2, 4\}$ 作为起始遍历边得到。

新结点 $\{1, 2\}$ 和 $\{1, 3\}$,$\{1, 2\}$ 和 $\{2, 4\}$,$\{1, 2\}$ 和 $\{2, 5\}$ 之间分别连新边。该新树可以选择 $\{2, 4\}$ 作为起始遍历边得到。

【样例 3】

见选手目录下的 traverse/traverse3.intraverse/traverse3.ans

该组样例满足 $c = 4$。

【样例 4】

见选手目录下的 traverse/traverse4.intraverse/traverse4.ans

该组样例满足 $c = 7$。

【样例 5】

见选手目录下的 traverse/traverse5.intraverse/traverse5.ans

该组样例满足 $c = 11$。

【样例 6】

见选手目录下的 traverse/traverse6.intraverse/traverse6.ans

该组样例满足 $c = 13$。

【样例 7】

见选手目录下的 traverse/traverse7.intraverse/traverse7.ans

该组样例满足 $c = 15$。

【样例 8】

见选手目录下的 traverse/traverse8.intraverse/traverse8.ans

该组样例满足 $c = 16$。

【样例 9】

见选手目录下的 traverse/traverse9.intraverse/traverse9.ans

该组样例满足 $c = 18$。

【样例 10】

见选手目录下的 traverse/traverse10.intraverse/traverse10.ans

该组样例满足 $c = 19$。

【样例 11】

见选手目录下的 traverse/traverse11.intraverse/traverse11.ans

该组样例满足 $c = 22$。

【样例 12】

见选手目录下的 traverse/traverse12.intraverse/traverse12.ans

该组样例满足 $c = 24$。

样例下载

【数据规模与约定】

对于所有的测试数据,保证:

$1 \leq T \leq 10$;

$2 \leq n \leq 10^5$;

$1 \leq k < n$;

对于任意的 $i(1 \leq i \leq n - 1)$,都有 $1 \leq u_i, v_i \leq n$,且构成一颗合法的树。

对于任意的 $i(1 \leq i \leq k)$,都有 $1 \leq e_i < n$,且两两不同。

特殊性质 A:对于任意的 $i(1 \leq i \leq n - 1)$,都有 $u_i = i, v_i = i + 1$。

特殊性质 B:对于任意的 $i(1 \leq i \leq n - 1)$,都有 $u_i = 1, v_i = i + 1$。

【提示】

数据输入的规模可能较大,请选手注意输入读取方式的效率。