题目名称 3747. [NOI 2022]挑战NPCⅡ
输入输出 iso.in/out
难度等级 ★★★★
时间限制 2000 ms (2 s)
内存限制 1024 MiB
测试数据 25
题目来源 Gravatarsyzhaoss 于2022-08-30加入
开放分组 全部用户
提交状态
分类标签
NOI
分享题解
通过:0, 提交:1, 通过率:0%
Gravatarop_组撒头屯 52 3.954 s 34.34 MiB C++
关于 挑战NPCⅡ 的近10条评论(全部评论)

3747. [NOI 2022]挑战NPCⅡ

★★★★   输入文件:iso.in   输出文件:iso.out   简单对比
时间限制:2 s   内存限制:1024 MiB

【题目描述】

诸由杨是一名咸鱼大学生,虽然他每天仍然幻想着在多项式时间内解决 NPC 问题。

诸由杨上课的时候了解到子图同构问题是一个 NPC 问题。他打算给出一个子图同构问题的多项式判定算法,间接地去证明 P = NP,这样他一定可以凭借这个伟大的工作荣获图灵奖!只可惜诸由杨才疏学浅,连子图同构问题属于 NPC 的证明都没有想出来。因而他退而求其次,准备判定一个更加简单的问题:

给定两棵有根树 $G, H$。设 $|G|$ 代表树 $G$ 中的节点个数,则这两棵树满足如下限制:$1 \leq | H | \leq | G | \leq | H | + k$。这里诸由杨保证 $k$ 是一个小常数。

诸由杨可以删除 $G$ 中的若干个节点,假定删除节点后后得到的子图为 $G'$。他想要知道是否存在一种删除节点的方式,使得删除后得到的子图 $G'$ 满足如下条件:

· $G'$ 连通。

· $G'$ 包含 $G$ 中的根节点(也就是说 $G$ 根节点在删除过程中没有被删除)。

· $G'$ 和 $H$ 同构(也就是说存在一种让 $G'$ 中点重标号的方式,使得重标号得到的图和 $H$ 完全相同,且 $G$ 中的根节点经过重标号后恰好为 $H$ 的根节点)。

【输入格式】

本题有多组测试数据。

输入的第一行依次包含两个正整数 $C,T$ 和一个非负整数 $k$,三个数字分别表示当前测试点编号,测试数据组数和题目中给定的常数。如果当前测试数据为样例则 $C = 0$。保证 $T \leq 500$、$k \leq 5$。

对于每一组测试数据:

输入的第一行包含一个正整数 $n_1$,表示树 $G$ 中的节点个数,保证 $1 \leq n_1 \leq {10}^5$,且 $\sum n_1 \leq 5 \times {10}^5$。

输入的第二行包含 $n_1$ 个整数,描述了树 $G$ 的结构。具体地,第 $i$($1 \leq i \leq n_1$)个整数 $a_i$ 表示在树 $G$ 中节点 $i$ 的父节点,如果其为根节点则 $a_i = -1$。保证按照上述规则得到的树为连通有根树。

输入的第三行包含一个正整数 $n_2$,表示 $H$ 中的节点个数,保证对于所有测试数据,满足 $\max(1, n_1 - k) \leq n_2 \leq n_1$。

输入的第四行包含 $n_2$ 个整数,描述了树 $H$ 的结构。具体地,第 $i$($1 \leq i \leq n_2$)个整数 $b_i$ 表示在树 $H$ 中节点 $i$ 的父节点,如果其为根节点则 $b_i = -1$。保证按照上述规则得到的树为连通有根树。

【输出格式】

对于每一组测试数据:

输出一行一个字符串。如果存在删除 $G$ 中节点的方式,使得其能够同时满足上述三个条件,则输出 Yes;否则输出 No。

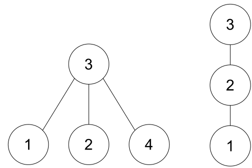
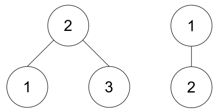
【样例1输入】

0 3 1
3
2 -1 2
2
-1 1
4
3 3 -1 3
3
2 3 -1
5
-1 1 5 5 1
5
2 3 -1 3 2

【样例1输出】

Yes
No
Yes

【样例1说明】

对于第一个测试点,我们删除第一棵树的 $1$ 号节点。此时剩余的树和输入第二棵树均为包含两个节点的有根树,因而输出为 Yes。

对于第二个测试点,输入第一颗树深度为 $1$,但是输入第二颗树深度为 $2$。因而不论如何删除第一颗树的节点不会导致其树高增加到 $2$,因而输出为 No。

对于第三个测试点,其输入两颗树均同构于下图的树,因而因而输出为 Yes。

【样例2-4】

样例下载

【数据规模与约定】

对于所有测试数据,满足 $1 \leq T \leq 500$,$1 \le n_2 \leq n_1 \le {10}^5$,$\sum n_1 \leq 5 \times {10}^5$,$0 \leq k \leq 5$。各测试点的附加限制如下表所示:

其中附加限制中的特殊性质如下所示:

· 特殊性质 A:保证有根树 $G$ 每个节点要么是叶节点,要么有恰好 $1$ 个儿子结点;另一种等价的表述是有根树 $G$ 构成了一条链,且根节点为链的一个端点。

· 特殊性质 B:保证有根树 $G$ 每个节点要么是叶节点,要么有恰好 $2$ 个儿子结点,同时保证 $G$ 的每一个叶节点深度均相同;另一种等价的表述是有根树 $G$ 构成一棵完全二叉树,且根节点为完全二叉树的根节点。

数据没有针对任何合理的哈希算法做任何针对性的构造,所以在合理范围内不需要过度担心因为哈希碰撞而产生的失分问题。

【来源】

NOI2022 Day2 Task1