题目名称 2997. [POJ 1463]战略游戏
输入输出 strategic.in/out
难度等级 ★★
时间限制 1000 ms (1 s)
内存限制 256 MiB
测试数据 1
题目来源 Gravatarsyzhaoss 于2018-10-15加入
开放分组 全部用户
提交状态
分类标签
树形DP 动态规划
查看题解 分享题解
通过:29, 提交:68, 通过率:42.65%
Gravatarrb_tree 100 0.067 s 3.90 MiB C++
Gravatar李金泽 100 0.067 s 4.08 MiB C++
GravatarLikableP 100 0.068 s 1.76 MiB C++
Gravatarlihaoze 100 0.069 s 5.76 MiB C++
Gravatar李金泽 100 0.071 s 4.04 MiB C++
Gravatarsyzhaoss 100 0.076 s 5.91 MiB C++
Gravatarrzzakioi 100 0.082 s 4.04 MiB C++
Gravatar对立猫猫对立 100 0.084 s 4.06 MiB C++
Gravataryyswys 100 0.097 s 3.99 MiB C++
Gravatarwhaleeee 100 0.099 s 5.76 MiB C++
本题关联比赛
2025暑期集训第4场
关于 战略游戏 的近10条评论(全部评论)
读入有些麻烦
Gravatarlihaoze
2022-04-27 20:48 1楼

2997. [POJ 1463]战略游戏

★★   输入文件:strategic.in   输出文件:strategic.out   简单对比
时间限制:1 s   内存限制:256 MiB

【题目描述】

刑天喜欢玩电脑游戏,特别是战略游戏,但有时他找不到解决问题的方法,这让他很伤心。

现在他有以下问题。

他必须保护一座战略城池,这条城市的道路构成了一棵树。

每个节点上的虎贲可以观察到所有和这个点相连的道路。

他必须在节点上安排最少数量的虎贲,以便他们可以观察到所有的道路。

你能帮助他吗?

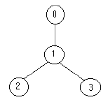
例如,下面的树:

只需要安排 $1$ 名虎贲(在节点 $1$ 处),就可观察到所有的道路。

【输入格式】

输入包含多组测试数据,每组测试数据用以描述一棵树。

对于每组测试数据,第一行包含整数 $n(n\leq 1500)$,表示树的节点数目。

接下来 $n$ 行,每行按如下方法描述一个节点。

节点编号:(子节点数目) 子节点 子节点 …

节点编号从 $0$ 到 $n-1$,每个节点的子节点数量均不超过 $10$,每条道路在输入数据中只出现一次。

【输出格式】

对于每组测试数据,输出一个占据一行的结果,表示最少需要的虎贲数。

【样例输入】

4
0:(1) 1
1:(2) 2 3
2:(0)
3:(0)
5
3:(3) 1 4 2
1:(1) 0
2:(0)
0:(0)
4:(0)

【样例输出】

1
2