题目名称 3203. 分组游戏
输入输出 gamem.in/out
难度等级 ★★★☆
时间限制 1000 ms (1 s)
内存限制 512 MiB
测试数据 10
题目来源 Gravatar梦那边的美好ET 于2019-06-29加入
开放分组 全部用户
提交状态
分类标签
查看题解 分享题解
通过:3, 提交:6, 通过率:50%
Gravatar梦那边的美好ET 100 0.859 s 26.55 MiB C++
Gravataryrtiop 100 0.958 s 11.45 MiB C++
Gravatar梦那边的美好TE 100 2.420 s 18.02 MiB C++
Gravatar梦那边的美好ET 10 0.007 s 13.67 MiB C++
Gravataryyyy 0 0.088 s 3.66 MiB C++
Gravatar梦那边的美好ET 0 0.405 s 75.31 MiB C++
本题关联比赛
2025.12.6
关于 分组游戏 的近10条评论(全部评论)

3203. 分组游戏

★★★☆   输入文件:gamem.in   输出文件:gamem.out   简单对比
时间限制:1 s   内存限制:512 MiB

【题目描述】


大样例

【输入格式】

【输出格式】

【样例输入】

3
2 3 3

【样例输出】

4

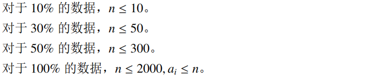
【提示】