题目名称 1478. [UVa 1362] 多叉树遍历
输入输出 Pyramids.in/out
难度等级 ★☆
时间限制 1000 ms (1 s)
内存限制 256 MiB
测试数据 10
题目来源 Gravatar超级傲娇的AC酱 于2014-01-09加入
开放分组 全部用户
提交状态
分类标签
UVa 动态规划 计数类DP
分享题解
通过:14, 提交:22, 通过率:63.64%
Gravatardevil 100 0.663 s 1.05 MiB C++
GravatarKZNS 100 0.683 s 1.01 MiB C++
Gravatarzhengtn03 100 0.763 s 0.94 MiB C++
GravatarMealy 100 0.838 s 0.66 MiB C++
GravatarceerRep 100 0.846 s 1.01 MiB C++
Gravatarmikumikumi 100 0.874 s 1.14 MiB C++
Gravatarzhengtn03 100 0.894 s 0.94 MiB C++
Gravatar超级傲娇的AC酱 100 0.942 s 0.68 MiB C++
Gravatarwoca 100 0.956 s 0.66 MiB C++
Gravatarwoca 100 0.982 s 0.66 MiB C++
关于 多叉树遍历 的近10条评论(全部评论)
+1
GravatarKZNS
2016-05-11 15:31 2楼
居然没有看到输入包含多组数据……
Gravatardevil
2015-10-22 16:51 1楼

1478. [UVa 1362] 多叉树遍历

★☆   输入文件:Pyramids.in   输出文件:Pyramids.out   简单对比
时间限制:1 s   内存限制:256 MiB

【题目描述】

考古学家在一个古埃及金字塔中发现了一系列隐藏的洞穴。通过翻译附近墙上的象形文字,人们掌握了这些洞穴的结构。在一个金字塔内有 $n$ 个由狭窄通道相连的洞穴,其中某个洞穴通过一条通道与外界连通。对于每个洞穴,从外界有且仅有一条通过通道进入该洞穴的路径。所有的洞穴都在金字塔的地下室中,因此我们可以认为它们都在同一水平面上。通道互不交叉。每一个洞穴的墙壁都被染成了某种颜色。

科学家们决定给洞穴绘制一张详细的地图,为此他们使用了一个探测机器人。这个机器人有两个元件:用以记录对每个洞穴描述的输出磁带,和一个操作栈。

最初机器人沿通道进入与外界直接相连的洞穴。当它第一次沿某条通道行走时,它将这条通道的特征放在栈顶。当它进入某个洞穴时,它将这个洞穴的颜色记录在输出磁带上。之后它将选择尚未经过的通道中最靠左的一个,并沿着这条通道继续前进。如果没有这样的通道,那么机器人就将栈顶元素弹出,沿着该通道以(与上一次经过该通道时的)反向行走。当机器人返回外界时它的任务就结束了。显然,机器人在一次旅行中至少经过每个洞穴各一次,并且以每个方向经过每个通道恰好一次。

科学家们已经把机器人派出去执行任务了。当它返回后,科学家们就开始研究输出磁带。他们失望地发现,一个输出磁带并不对应唯一的一个洞穴系统。现在他们有了一个新问题:可以有多少种洞穴系统对应输出磁带上的序列。请帮助他们解决这个问题。

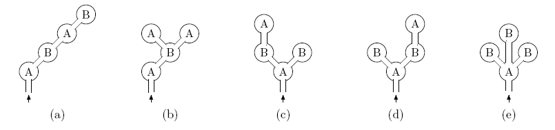
因为答案可能很大,你应该输出它模 $1000000000$ 的值。请注意,洞穴的拓扑结构远比它们的绝对位置重要。因此图中的 $(c)$ 和 $(d)$ 被认为是两种不同的洞穴系统。



【输入格式】

输入包含多组数据。每组数据仅一行,即由大写字母组成的访问序列。序列非空,且长度不超过 $300$.输入结束标志为文件结束符($EOF$).

【输出格式】

对于每组数据,输出满足条件的多叉树的数目除以 $10^9$ 的余数。

【样例输入】

ABABABA

【样例输出】

5

【来源】

UVa1362 Exploring Pyramids NEERC 2005,LA3516

刘汝佳,《算法竞赛入门经典训练指南》表2.2