| 题目名称 | 3052. [NOIP 2018PJ]对称二叉树 |
|---|---|
| 输入输出 | tree.in/out |
| 难度等级 | ★★ |
| 时间限制 | 1000 ms (1 s) |
| 内存限制 | 256 MiB |
| 测试数据 | 25 |
| 题目来源 |
|
| 开放分组 | 全部用户 |
| 提交状态 | |
| 分类标签 | |
| 分享题解 |
| 通过:42, 提交:185, 通过率:22.7% | ||||
|
|
100 | 0.897 s | 11.45 MiB | C++ |
|
|
100 | 0.933 s | 15.55 MiB | C++ |
|
|
100 | 1.373 s | 15.78 MiB | C++ |
|
|
100 | 1.388 s | 15.57 MiB | C++ |
|
|
100 | 1.591 s | 19.66 MiB | C++ |
|
|
100 | 1.624 s | 5.05 MiB | C++ |
|
|
100 | 1.647 s | 12.69 MiB | C++ |
|
|
100 | 1.649 s | 7.25 MiB | C++ |
|
|
100 | 1.680 s | 17.22 MiB | C++ |
|
|
100 | 1.734 s | 19.66 MiB | C++ |
| 关于 对称二叉树 的近10条评论(全部评论) | ||||
|---|---|---|---|---|
|
暴力出奇迹!
| ||||
|
疯狂优化。。
2018-11-25 12:47
2楼
| ||||
|
@zhaossbnu
测试点炸了
2018-11-15 20:01
1楼
| ||||
一棵有点权的有根树如果满足以下条件,则被轩轩称为对称二叉树:
1.二叉树;
2.将这棵树所有节点的左右子树交换,新树和原树对应位置的结构相同且点权相等。
下图中节点内的数字为权值,节点外的id表示节点编号。
现在给出一棵二叉树,希望你找出它的一棵子树,该子树为对称二叉树,且节点数最多。请输出这棵子树的节点数。
注意:只有树根的树也是对称二叉树。本题中约定,以节点T为子树根的一棵“子树”指的是:节点T 和它的全部后代节点构成的二叉树。
第一行一个正整数n,表示给定的树的节点的数目,规定节点编号1~n,其中节点
1是树根。
第二行n个正整数,用一个空格分隔,第i个正整数$v_i$代表节点i的权值。
接下来n行,每行两个正整数$l_i,r_i$,分别表示节点i的左右孩子的编号。如果不存在左/右孩子,则以−1表示。两个数之间用一个空格隔开。
输出文件共一行,包含一个整数,表示给定的树的最大对称二叉子树的节点数。
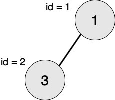
2 1 3 2 -1 -1 -1
1
最大的对称二叉子树为以节点 2 为树根的子树,节点数为 1。
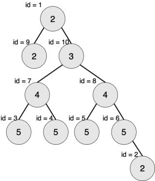
10 2 2 5 5 5 5 4 4 2 3 9 10 -1 -1 -1 -1 -1 -1 -1 -1 -1 2 3 4 5 6 -1 -1 7 8
3
最大的对称二叉子树为以节点 7 为树根的子树,节点数为 3。
共 $25$ 个测试点。
$v_i ≤ 1000$。
测试点 $1 \sim 3, n ≤ 10$,保证根结点的左子树的所有节点都没有右孩子,根结点的右 子树的所有节点都没有左孩子。
测试点 $4 \sim 8, n ≤ 10$。
测试点 $9 \sim 12, n ≤ 10^5$,保证输入是一棵“满二叉树” 。
测试点 $13 \sim 16, n ≤ 10^5$,保证输入是一棵“完全二叉树”。
测试点 $17 \sim 20, n ≤ 10^5$,保证输入的树的点权均为 $1$。
测试点 $21 \sim 25, n ≤ 10^6$。
本题约定:
层次:节点的层次从根开始定义起,根为第一层,根的孩子为第二层。树中任一节点的层次等于其父亲节点的层次加1。
树的深度:树中节点的最大层次称为树的深度。
满二叉树:设二叉树的深度为h,且二叉树有$2^h-1$个节点,这就是满二叉树。
满二叉树(深度为 3)
完全二叉树:设二叉树的深度为h,除第h层外,其它各层的结点数都达到最大个数,第h层所有的结点都连续集中在最左边,这就是完全二叉树。

完全二叉树(深度为 3) 完全二叉树(深度为 3)
NOIP2018普及组第四题。