题目名称 2189. [HZOI 2015] 帕秋莉的超级多项式
输入输出 polynomial.in/out
难度等级 ★★★★☆
时间限制 10000 ms (10 s)
内存限制 512 MiB
测试数据 10
题目来源 Gravatar神利·代目 于2016-03-26加入
开放分组 全部用户
提交状态
分类标签
FFT HZOI
分享题解
通过:190, 提交:420, 通过率:45.24%
Gravatarnegii 100 5.465 s 40.31 MiB C++
Gravatar回归运动 100 6.536 s 8.28 MiB C++
GravatarAnimalcoder 100 8.036 s 24.73 MiB C++
GravatarAnimalcoder 100 8.133 s 11.59 MiB C++
Gravatar洛神符 100 8.209 s 11.59 MiB C++
Gravatarapp 100 10.500 s 22.51 MiB C++
Gravatarapp 100 10.563 s 22.31 MiB C++
Gravatarapp 100 10.616 s 22.31 MiB C++
GravatarConical 100 11.157 s 18.34 MiB C++
Gravatardzyo 100 11.291 s 23.73 MiB C++
本题关联比赛
noi2017模板练习+
关于 帕秋莉的超级多项式 的近10条评论(全部评论)
noi
Gravatar发光二向箔
2019-11-04 22:18 30楼
交了2发发现这oj不开栈(
Gravatarnegii
2018-11-29 17:31 29楼
好艰辛的"模板题".
Gravatarlch316
2018-10-01 21:09 28楼
公式挂了。。。。。
GravatarMayuri
2018-07-05 14:11 27楼
patchouli♂go!
Gravatarjefflyy
2018-04-04 15:12 26楼
还少了多项式取模233
Gravatardzyo
2018-01-23 11:20 25楼
按照picks的写法写,常数真是优美……
写了一天,膜了一天Aglove神犇的代码,总算是码出来了……
GravatarFoolMike
2017-06-11 20:25 24楼
回复 @葳棠殇 :
Orz! Orz! Orz! Orz! 万古犇 昊神!
Gravatarorion_rigel
2017-04-30 09:54 23楼
啊♂?幻♂想♂乡?
GravatarHZOI_蒟蒻一只
2017-03-26 16:46 22楼
帕秋莉GO!
Gravatarswm_sxt
2017-03-23 22:09 21楼

2189. [HZOI 2015] 帕秋莉的超级多项式

★★★★☆   输入文件:polynomial.in   输出文件:polynomial.out   简单对比
时间限制:10 s   内存限制:512 MiB

【题目描述】

在幻想乡,帕秋莉·诺蕾姬(パチュリー·ノーレッジ)是以宅在图书馆闻名的魔法使。

其语文,数学,英语,物理,化学,生物,政治,历史,地理,哲♂学,无所不通晓。

今天,她在研♂究多项式……

“小恶魔……”,帕秋莉突然召唤道。

“来啦~~,帕秋莉sama~~~”,小恶魔高兴地飘到了帕秋莉的身边。

帕秋莉头也不抬地将一张写满公式的纸递给了小恶魔,

“帮我把这个式子求出来。”

“唔……”,小恶魔对帕秋莉冷淡的态度有些失望,

不过,先以公事为先吧,以后,哼哼,再把帕秋莉攻略掉!

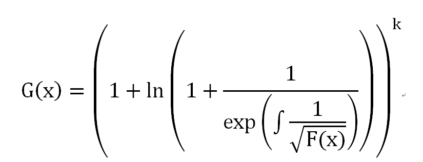
小恶魔看了看帕秋莉给她的公式:

(+﹏+)~

这是啥。。。

不过小恶魔是很聪明的,瞬间学会了C++,编好了程序

当她兴高采烈地去找帕秋莉时,帕秋莉用很疑惑的眼神看着她

“怎么啦?”小恶魔问道,

“F(x)是个多项式哦。”

“啥!!Σ( ° △ °|||)︴”,不会了……

就这样,小恶魔找到了你

帮帮小恶魔吧!

题目概述:

给定n,k,F(x),其中F(x)是常数项为完全平方数的多项式,其最高次项为n-1,一切运算都在mod x^n的意义下进行,积分之后默认常数项为0,求G'(x),即G(x) mod x^n的导函数。(先mod再求导)

由于答案有可能非常的大,你只需要输出G'(x)每项的系数mod 998244353的余数的非负整数即可。

【输入格式】

第一行:两个数n,k

第二行:n个数:零次项到n-1次项的系数

【输出格式】

n个数,分别表示结果的零次项到n-1次项的系数

【样例输入】

10 850364419

2809 194360192 321022656 126565118 52396030 592803840 203610880 479432704 687895263 119537663

【样例输出】

547604268 801849496 580773243 716155766 229972082 99551288 331271101 407139181 121537791 0

【提示】

数据范围:

1<=n<=100000

0<=k<=1000000000

0=<F(x)的各项系数<998244353

【来源】

by stdafx && 神利·代目