题目名称 1642. 无根树转有根树
输入输出 wgs.in/out
难度等级
时间限制 1000 ms (1 s)
内存限制 256 MiB
测试数据 6
题目来源 Gravatarcqw 于2014-05-24加入
开放分组 全部用户
提交状态
分类标签
图论
分享题解
通过:64, 提交:110, 通过率:58.18%
GravatarPine 100 0.235 s 15.54 MiB C++
GravatarAlbert S. Chang 100 0.262 s 25.74 MiB C++
GravatarHeHe 100 0.270 s 9.94 MiB C++
GravatarHeHe 100 0.271 s 9.40 MiB C++
Gravatarrvalue 100 0.275 s 19.22 MiB C++
Gravatardxd 100 0.282 s 23.20 MiB C++
GravatarCSU_Turkey 100 0.403 s 13.17 MiB C++
GravatarCSU_Turkey 100 0.422 s 15.57 MiB C++
GravatarFisher. 100 0.422 s 19.39 MiB C++
GravatarCSU_Turkey 100 0.423 s 15.57 MiB C++
本题关联比赛
至少完成十道练习
图论练习和一些常规题
图论练习和一些常规题
关于 无根树转有根树 的近10条评论(全部评论)
裸的BFS
也可以用DFS
---------------------
时隔很久重写一遍。。。。
第一次快速输出写炸了。。
第二次忘记删除调试输出了。。。
。。。。。。。
GravatarHeHe
2017-07-01 10:08 3楼
简直瀑布
GravatarYGOI_真神名曰驴蛋蛋
2016-09-11 16:35 2楼
好水...
Gravatarraywzy
2014-08-01 15:03 1楼

1642. 无根树转有根树

★   输入文件:wgs.in   输出文件:wgs.out   简单对比
时间限制:1 s   内存限制:256 MiB

【题目描述】

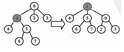
输入一个n个结点的无根树的各条边,并指定一个根结点,要求把该树转化为有根树,输出各个结点的父亲编号。n≤10^6,如图所示。

【输入格式】


第1行:两个空格隔开的整数n,u;n是树的节点数,u是根节点编号。

第2~n行:每行包含二个整数X,Y,表示节点X,节点Y之间有边。(节点编号从0开始)

第n+1行,一个整数m

第n+2行,m个用空格隔开的整数,表示需要输出父亲的结点编号。


【输出格式】

一行,m个用一个空格隔开的整数,为m个节点的父亲编号。

【样例输入】

8 1
0 1 
0 2 
0 3 
1 4 
1 5 
5 6 
5 7
8
0 1 2 3 4 5 6 7 

【样例输出】

1 -1 0 0 1 1 5 5

【提示】

1号节点没有父亲,输出-1。

【来源】

《算法竞赛入门经典(第2版)》第11章例题