题目名称 1770. [国家集训队2012]JZPKIL
输入输出 jzpkil.in/out
难度等级 ★★★★★
时间限制 5000 ms (5 s)
内存限制 256 MiB
测试数据 20
题目来源 Gravatarcstdio 于2014-10-24加入
开放分组 全部用户
提交状态
分类标签
数论
查看题解 分享题解
通过:20, 提交:45, 通过率:44.44%
Gravatar 100 8.895 s 214.02 MiB C++
Gravatarxyz117 100 9.277 s 35.17 MiB C++
GravatarWTF 100 9.286 s 35.17 MiB C++
Gravatarfather 100 9.317 s 93.84 MiB C++
Gravatar张家旗 100 18.233 s 221.95 MiB C++
Gravataryaopr0708 100 18.476 s 221.95 MiB C++
Gravatar张家旗 100 18.509 s 221.95 MiB C++
Gravataryeyeye 100 21.503 s 208.60 MiB C++
Gravatar沉迷学习的假的Keller 100 21.900 s 208.60 MiB C++
GravatarKulliu 100 21.997 s 208.60 MiB C++
关于 JZPKIL 的近10条评论(全部评论)
16,17 点T了,到现在没改出来,于是在我做过这题后,此题正确率从42%直降至31%。hahaha
GravatarAloneLight
2018-08-07 19:00 5楼
“解决这道题需要一定的********基础,集训队员应当已经掌握这些知识,为使得NOI铜牌线的同学能够理解本题解题报告,这里简单介绍需要的基础知识"……
感受到了来自7k+的深深的恶意………………
GravatarAsm.Def
2014-10-27 15:05 4楼
回复 @cstdio :
Orzzzzzzzzzzzzzzzzzzzzzzzzzzzzzzzzzzzzzzzzzzzzzzzzzzzzzzzzzzzzzzzzzzzzzzzzzzzzzzzzzzzzzzzzzzzzz
GravatarAsm.Def
2014-10-27 15:02 3楼
这题的姿势水平已经超越MO大纲了……伯努利数(这玩意数竞都他喵的不考……)+Pollard's rho+Rabin Miller+伯努利数+莫比乌斯函数你啪不啪……
卡常数题……有个用long double的大数相乘取余函数,但是这玩意巨慢,所以模1e9+7的时候不能用它
算的时候少加了一项结果是对的,别问我为什么,我抄的是标程……
Gravatarcstdio
2014-10-27 09:44 2楼
回复 @cstdio :
Orzzzzzzzzzzzzzzzzzzzzzzzzzzzzzzzzzzzzzzzzzzzzzzzzzzzzzzzzzzzzzzzzzzzzz
GravatarChenyao2333
2014-10-26 21:10 1楼

1770. [国家集训队2012]JZPKIL

★★★★★   输入文件:jzpkil.in   输出文件:jzpkil.out   简单对比
时间限制:5 s   内存限制:256 MiB
JZPKIL(顾昱洲)
时间限制:5.0s   内存限制:256.0M

【试题来源】

2012信息学奥林匹克中国国家队训练

【问题描述】

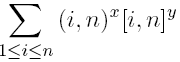
给定n, x, y,求模10^9+7,其中(a, b)为gcd,[a, b]为lcm。

【输入格式】

第一行,询问个数T。
下面T行,每行三个整数,n, x, y。

【输出格式】

T行,每行一个整数,表示相应的询问的答案

【样例输入】

5
6 0 0
6 0 1
6 1 0
6 1 1
1000000000 50 50

【样例输出】

6
66
15
126
393442025

【数据规模和约定】

30%的数据,x=y
另30%的数据,n<=10^9, x, y<=100
100%的数据,T<=100, 1<=n<=10^18, 0<=x, y<=3000