| 题目名称 | 1097. [USACO Oct09] 木瓜林 |
|---|---|
| 输入输出 | papaya.in/out |
| 难度等级 | ★ |
| 时间限制 | 1000 ms (1 s) |
| 内存限制 | 128 MiB |
| 测试数据 | 10 |
| 题目来源 |
|
| 开放分组 | 全部用户 |
| 提交状态 | |
| 分类标签 | |
| 分享题解 |
| 通过:35, 提交:57, 通过率:61.4% | ||||
|
|
100 | 0.001 s | 0.16 MiB | Pascal |
|
|
100 | 0.002 s | 0.30 MiB | C++ |
|
|
100 | 0.002 s | 0.30 MiB | C++ |
|
|
100 | 0.002 s | 0.32 MiB | C++ |
|
|
100 | 0.003 s | 0.27 MiB | C++ |
|
|
100 | 0.003 s | 0.29 MiB | C++ |
|
|
100 | 0.003 s | 0.30 MiB | C++ |
|
|
100 | 0.003 s | 0.30 MiB | C++ |
|
|
100 | 0.003 s | 0.31 MiB | C++ |
|
|
100 | 0.003 s | 0.31 MiB | C++ |
| 关于 木瓜林 的近10条评论(全部评论) | ||||
|---|---|---|---|---|
|
.......忘记初始化了,一行代码50分- -
| ||||
Bessie不小心游荡出Farmer John的田地,而走进了相邻的农民的地里。她举起一个木瓜,木瓜对奶牛来说可是不可多得得美味。这个木瓜林像一般的威斯康星州的田地一样被分割成一个R行C列的网格(1 <= R <= 40, 1 <= C <= 40)。Bessie可以从一个格沿着一条跟X轴或Y轴平行的直线走到邻接的另一个格。Bessie发现一开始她自己在木瓜林的(1,1),也就是第一行第一列慢悠悠地咀嚼着木瓜。
Bessie总是用她最信赖地双筒望远镜去数每一个邻接的格里挂着的木瓜的数目。然后她就游荡到那个有最多没有被吃掉的木瓜的邻接的格子(保证这样的格子只有一个)。
按照这种移动方法,最终Bessie总是会在(R,C)停止然后吃掉那里的木瓜。
给定这个木瓜林的大小及每个格的木瓜数F_ij(1 <= F_ij <= 100), 要求Bessie一共吃了多少个木瓜。
第1行: 两个空格隔开的整数R和C.
第2..R+1行: 第i+1行有C个空格隔开的整数,表示第i行的每个格的水果数。也就是F_i1, F_i2, ..., F_iC.
第1行: 一个单独的整数,表示到Bessie吃完右下角(R,C)的木瓜回到牛棚的时候为止,一共在木瓜林吃掉了多少个木瓜。
3 4 3 3 4 5 4 5 3 2 1 7 4 2
39
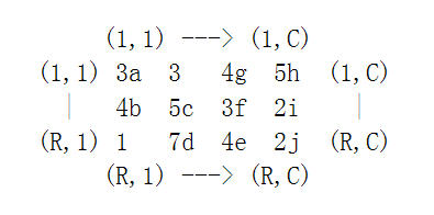
木瓜林是三行四列,Bessie起始于左上角的"3"。
Bessie按照下图数字旁边的字母的顺序吃掉木瓜。

她吃了39个木瓜,剩下4个没有吃(也就是说除了2个格幸免于难,剩下的格子都被Bessie扫荡过了)。
USACO OCT09