题目名称 1883. [国家集训队2011]刷题计划
输入输出 nt2011_seq.in/out
难度等级 ★★★
时间限制 1000 ms (1 s)
内存限制 512 MiB
测试数据 20
题目来源 Gravatarcstdio 于2014-12-17加入
开放分组 全部用户
提交状态
分类标签
二分法 数学
分享题解
通过:24, 提交:100, 通过率:24%
Gravatartututu 100 0.180 s 1.05 MiB C++
Gravatar514flowey 100 0.184 s 1.83 MiB C++
Gravatartututu 100 0.228 s 1.05 MiB C++
Gravatartututu 100 0.229 s 1.05 MiB C++
Gravataryf 100 0.249 s 1.46 MiB C++
Gravataryf 100 0.250 s 1.46 MiB C++
Gravataryf 100 0.253 s 1.46 MiB C++
Gravataryf 100 0.263 s 1.46 MiB C++
Gravataryf 100 0.267 s 1.46 MiB C++
Gravatartututu 100 0.277 s 1.05 MiB C++
关于 刷题计划 的近10条评论(全部评论)
被精度卡成狗QAQ
Gravatarmikumikumi
2016-03-27 17:31 3楼
无奈三分套三分的暴力又写成了死循环hh
Gravatar四季木哥
2015-09-23 11:06 2楼
Gravatarcstdio
2014-12-17 11:32 1楼

1883. [国家集训队2011]刷题计划

★★★   输入文件:nt2011_seq.in   输出文件:nt2011_seq.out   简单对比
时间限制:1 s   内存限制:512 MiB

【试题来源】

2011中国国家集训队命题答辩

【问题描述】

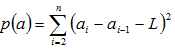
为了提高自己的实力,gx想要制定一个合理的刷题计划。这里我们用实数来表示题目的难度,并且把刷题计划中由题目难度组成的序列称为刷题序列。gx刷题最喜欢循序渐进的方式,最理想的情况莫过于刷题序列是个等差数列了。但是这很难做到,于是我们定义一个刷题序列a的偏离值 ,其中L是给定的一个常数。
现在gx的老师已经布置给了他n道必做题,同时他还有空余时间从OJ上找m道题目来刷。他不希望改变这n道必做题的相对顺序,但是选做题的难度以及在数列中的位置都是任意的(OJ上的题目太多了,随你怎么挑)。
gx希望你帮他设计一个刷题序列,使得该序列的偏离值最小。

【输入格式】

输入的第一行包含三个数:n, m, L。n是整数,表示必做题有n道,m是整数,表示选做题有m道,L是实数。第二行包含n个实数,依次表示每道必做题的难度。

【输出格式】

输出一个实数,表示最小的偏离值。保留三位小数。

【样例输入】

4 3 1.0
1 4 5 3

【样例输出】

8.000

【样例说明】

将原序列(1,4,5,3)变成(1,2,3,4,5,4,3),偏离值为8.00。

【数据规模和约定】

对于30%的数据 n≤500, m≤200
对于70%的数据 n≤20000, m≤100000
对于100%的数据 1≤n≤50000, 1≤m≤100000000, -100≤L≤100, |ai|≤100
均匀分布着50%的数据 L=0