题目名称 1661. [NOI 2004]小H的小屋
输入输出 hut.in/out
难度等级 ★★☆
时间限制 1000 ms (1 s)
内存限制 512 MiB
测试数据 10
题目来源 Gravatarcstdio 于2014-09-13加入
开放分组 全部用户
提交状态
分类标签
贪心 NOI 动态规划
分享题解
通过:15, 提交:26, 通过率:57.69%
GravatarceerRep 100 0.004 s 0.31 MiB C++
Gravatarcstdio 100 0.025 s 0.25 MiB C++
GravatarTA 100 0.247 s 0.57 MiB C++
Gravatarkujioka·mei 100 0.404 s 15.59 MiB C++
GravatarLCWhiStLe 100 0.573 s 10.54 MiB C++
GravatarEvilEC 100 0.578 s 10.54 MiB C++
GravatarRivendell 100 0.738 s 9.23 MiB C++
Gravatarvampire 100 0.815 s 10.56 MiB C++
Gravatarfye 100 1.129 s 9.23 MiB C++
Gravatarvampire 100 1.202 s 10.56 MiB C++
关于 小H的小屋 的近10条评论(全部评论)
回复 @cstdio :
@cstdio @digital-T Orzzzzzzzzzzzzzzzzzzzzzzzzz
GravatarChenyao2333
2014-09-13 12:46 2楼
来自杨弋神犇的贪心法
Orz @digital-T
顺便吐槽:跨越墙建花园是要闹哪样……
Gravatarcstdio
2014-09-13 11:08 1楼

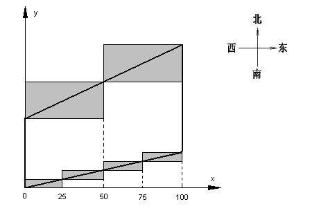
1661. [NOI 2004]小H的小屋

★★☆   输入文件:hut.in   输出文件:hut.out   简单对比
时间限制:1 s   内存限制:512 MiB

【问题描述】

小H发誓要做21世纪最伟大的数学家。他认为,做数学家与做歌星一样,第一步要作好包装,不然本事再大也推不出去。为此他决定先在自己的住所上下功夫,让人一看就知道里面住着一个“未来的大数学家”。

为了描述方便,我们以向东为x轴正方向,向北为y轴正方向,建立平面直角坐标系。小H的小屋东西长为100Hil(Hil是小H自己使用的长度单位,至于怎样折合成“m”,谁也不知道)。东墙和西墙均平行于y轴,北墙和南墙分别是斜率为k1和k2的直线,k1和k2为正实数。北墙和南墙的墙角处有很多块草坪,每块草坪都是一个矩形,矩形的每条边都平行于坐标轴。相邻两块草坪的接触点恰好在墙上,接触点的横坐标被称为它所在墙的“分点”,这些分点必须是1到99的整数。

小H认为,对称与不对称性的结合才能充分体现“数学美”。因此,在北墙角要有m块草坪,在南墙角要有n块草坪,并约定m≤n。如果记北墙和南墙的分点集合分别为X1,X2,则应满足X1⊆X2,即北墙的任何一个分点一定是南墙的分点。

由于小H目前还没有丰厚的收入,他必须把草坪的造价降到最低,即草坪的占地总面积最小。你能编程帮他解决这个难题吗?

【输入文件】

仅一行,包含4个数k1,k2,m,n。k1和k2为正实数,分别表示北墙和南墙的斜率,精确到小数点后第一位。m和n为正整数,分别表示北墙角和南墙角的草坪的块数。

【输出文件】

一个实数,表示草坪的最小占地总面积。精确到小数点后第一位。

【约定】

2≤m≤n≤100

南北墙距离很远,不会出现南墙草坪和北墙草坪重叠的情况

【样例输入】

0.5 0.2 2 4

【样例输出】

3000.0

【评分标准】

原题评分标准:对于每个测试点,如果你的结果与标准答案的误差不超过0.1,则可以得到该测试点的满分,否则得0分。