题目名称 1397. [NOI 2013]矩阵游戏
输入输出 matrixb.in/out
难度等级 ★★★
时间限制 1000 ms (1 s)
内存限制 256 MiB
测试数据 20
题目来源 Gravatarcqw 于2013-08-22加入
开放分组 全部用户
提交状态
分类标签
查看题解 分享题解
通过:94, 提交:264, 通过率:35.61%
GravatarAsm.Def 100 0.105 s 12.69 MiB C++
Gravatar天一阁 100 0.144 s 4.13 MiB C++
GravatarDissolute丶Tokgo 100 0.155 s 4.13 MiB C++
GravatarRivendell 100 0.161 s 1.89 MiB C++
GravatarSatoshi 100 0.165 s 2.22 MiB C++
GravatarWazon 100 0.166 s 2.22 MiB C++
GravatarWazon 100 0.168 s 2.22 MiB C++
GravatarWazon 100 0.169 s 2.22 MiB C++
Gravatarhjy96 100 0.172 s 2.23 MiB C++
Gravatar雪狼 100 0.174 s 0.31 MiB C++
本题关联比赛
2022级数学专题练习赛1
关于 矩阵游戏 的近10条评论(全部评论)
十进制快速幂太慢了,不过似乎不用卡常数啊。。。
正解好像是矩阵乘法满足费马小定理。。?
GravatarImone NOI2018Au
2017-07-15 21:38 13楼
我终于**过啦!!!!!!!
GravatarSky_miner
2017-05-29 07:16 12楼
写代码最丑的一回。。。一行80个字符,其中50多个都是MOD,+MOD%MOD的。。。。
Gravatar再见
2017-05-06 19:43 11楼
为什么是mod (1e9+6)?
Gravatarbbsh
2017-02-18 15:55 10楼
十进制快速幂是可以AC的,虽然慢成狗QAQ
GravatarFoolMike
2016-09-08 13:07 9楼
我终于**过了!!!!!!
GravatarYGOI_真神名曰驴蛋蛋
2016-07-13 16:33 8楼
回复 @raywzy :
10 ^ 19 进制快速幂能有 100 分
GravatarMenci
2016-07-10 18:45 7楼
用了费马小定理+特判
GravatarSatoshi
2016-02-05 12:15 6楼
重载是硬伤QAQ
Gravatarztx
2015-06-26 21:00 5楼
Gravatar天一阁
2015-06-26 20:11 4楼

1397. [NOI 2013]矩阵游戏

★★★   输入文件:matrixb.in   输出文件:matrixb.out   简单对比
时间限制:1 s   内存限制:256 MiB

【题目描述】

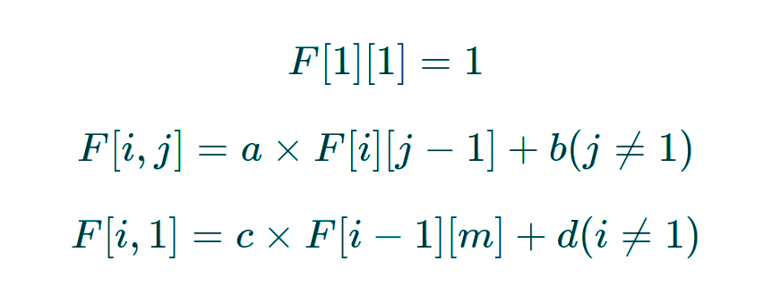
婷婷是个喜欢矩阵的小朋友,有一天她想用电脑生成一个巨大的 $n$ 行 $m$ 列的矩阵(你不用担心她如何存储)。她生成的这个矩阵满足一个神奇的性质:若用 $F[i][j]$ 来表示矩阵中第 $i$ 行第 $j$ 列的元素,则 $F[i][j]$ 满足下面的递推式:

递推式中 $a,b,c,d$ 都是给定的常数。

现在婷婷想知道 $F[n][m]$ 的值是多少,请你帮助她。由于最终结果可能很大,你只需要输出 $F[n][m]$ 除以 $1,000,000,007$ 的余数。

【输入格式】

包含一行有六个整数 $n,m,a,b,c,d$,意义如题所述。

【输出格式】

包含一个整数,表示 $F[n][m]$ 除以 $1,000,000,007$ 的余数。

【样例1输入】

3 4 1 3 2 6

【样例1输出】

85

【样例1提示】

样例中的矩阵为:

【样例2/3输入输出】

点击下载样例2/3

【数据范围】