题目名称 4130. 一道简单题
输入输出 yaep.in/out
难度等级 ★★☆
时间限制 1500 ms (1.5 s)
内存限制 512 MiB
测试数据 25
题目来源 Gravatarsyzhaoss 于2025-03-24加入
开放分组 全部用户
提交状态
分类标签
分享题解
通过:1, 提交:26, 通过率:3.85%
Gravatar梦那边的美好ET 100 12.209 s 18.99 MiB C++
Gravatar梦那边的美好ET 88 12.308 s 18.96 MiB C++
Gravatar梦那边的美好ET 88 13.354 s 19.15 MiB C++
Gravatarflyfree 64 19.645 s 103.77 MiB C++
Gravatarflyfree 64 19.664 s 103.78 MiB C++
Gravatarflyfree 64 19.709 s 103.77 MiB C++
Gravatarflyfree 64 19.792 s 103.74 MiB C++
GravatarLikableP 20 7.450 s 4.86 MiB C++
GravatarLikableP 12 27.730 s 9.88 MiB C++
GravatarLikableP 12 27.785 s 9.87 MiB C++
关于 一道简单题 的近10条评论(全部评论)
六百六十六
Gravatar清茗
2025-04-07 20:45 1楼

4130. 一道简单题

★★☆   输入文件:yaep.in   输出文件:yaep.out   简单对比
时间限制:1.5 s   内存限制:512 MiB

【题目背景】

Alice 和 Bob 又要进行新一轮的博弈了。

【题目描述】

Alice 给出了一个具有 $n$ 个点和 $m=n-1$ 条边的无向连通图。

Bob 觉得这个图太丑陋了,他决定删掉这个图的一些边。

具体地,有 $q$ 次操作,第 $i$ 次 Bob 只会删掉编号不是$i$ 的倍数的边。操作之间独立,即每次操作开始前图都是一开始的图。

对于每次操作,图会变为若干个连通块,Alice 要对于每个连通块,选择一个初始点,然后对于每个初始点,遍历一遍这个初始点所在的连通块。同时钦定一个顺序访问初始点。

我们对遍历的定义如下:如果一个节点 $u$ 存在一个相邻的节点 $v$(如果有多个 $v$ 满足条件,则 Alice 会找到最优的 $v$),且 $v$ 没有被访问过,则去访问 $v$,同时认为走过了边 $(u,v)$;否则回到上一个访问的节点。重复这一操作直到该连通块没有点没有被访问过。

现在每条边上有一个编号,我们将按照经过边的顺序从前到后写出边上的编号,记最后写出的序列为 $s$。Alice 需要最小化 $s$ 的字典序。

我们定义长度为 $n$ 的序列 $a$ 的字典序比长度为 $m$ 的序列 $b$ 的字典序小,当且仅当满足下面两个条件的任意一个:

·$\exists i\le n,a_i<b_i$ 且 $\forall j<i,a_j=b_j$。

·$\forall i\le n,a_i=b_i$ 且 $n<m$。

我们认为:每组数据中第 $i$ 条输入的边的编号为 $i$。

【输入格式】

第一行,测试点编号 $C$ 和数据组数 $T$。

对于每组数据,输入格式如下:

第一行三个正整数 $n,m,q$,表示图的节点数,边数和询问数。

接下来 $m$ 行,每行两个正整数 $u,v$,代表一条边的两个端点。

【输出格式】

对于每组数据,输出格式如下:

共 $q$ 行,每行输出一个不用空格分隔的序列代表字典序最小的 $s$。

注意:如果序列为空,输出 -1

【样例1输入】

0 2
5 4 3
1 2
2 3
3 4
4 5
7 6 4
1 2
1 3
2 4
2 5
3 6
3 7

【样例1输出】

1234
24
3
125634
264
36
4

【样例1说明】

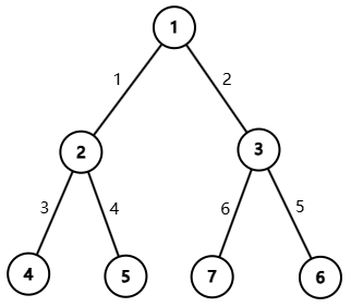
样例 1 的第二组数据如图所示:

【样例2/3/4/5】

样例下载

【样例 2 解释】

该样例包含 3 组数据,分别满足测试点 1,6,9 的限制。

【样例 3 解释】

该样例包含 2 组数据,分别满足测试点 12,13 的限制。

【样例 4 解释】

该样例包含 3 组数据,分别满足测试点 14,16,19 的限制。

【样例 5 解释】

该样例包含 1 组数据,满足测试点 23 的限制。

【数据规模与约定】

注意:所有样例均满足 $C=0$。

对于 $100\%$ 的数据,$1\le T\le 3,1\le n,m,q\le 2\times 10^5$。

【来源】

校际联合邀请赛第5场-入门组T4