题目名称 3542. [POJ 3585]富集程度
输入输出 accumulation.in/out
难度等级 ★★★
时间限制 1000 ms (1 s)
内存限制 256 MiB
测试数据 10
题目来源 Gravatarsyzhaoss 于2021-03-08加入
开放分组 全部用户
提交状态
分类标签
动态规划 换根 树形DP
分享题解
通过:15, 提交:62, 通过率:24.19%
Gravatar鸣人 100 0.029 s 3.31 MiB C++
Gravatarsyzhaoss 100 0.055 s 2.01 MiB C++
Gravatarmouse 100 0.065 s 2.01 MiB C++
Gravatarop_组撒头屯 100 0.066 s 2.67 MiB C++
Gravatarmxr2022 100 0.069 s 2.67 MiB C++
Gravatar┭┮﹏┭┮ 100 0.086 s 4.24 MiB C++
Gravatar小金 100 0.095 s 5.35 MiB C++
Gravatar┭┮﹏┭┮ 100 0.108 s 2.83 MiB C++
Gravatarcb 100 0.236 s 7.89 MiB C++
Gravatar健康铀 100 0.262 s 2.67 MiB C++
关于 富集程度 的近10条评论(全部评论)
逆天数据,每次输入没更新数组变量都过了7个点
Gravatar健康铀
2023-07-27 10:39 4楼
多组数据真有趣,写处理读入数据比写dp时间还长。。。
Gravatar在大街上倒立游泳
2023-07-27 10:36 3楼
1楼小丑,ε=(´ο`*)))唉,有一说一,我才是小丑
Gravatarcb
2021-07-16 09:56 2楼
这题看着不会做
Gravatarfsdh
2021-07-16 09:24 1楼

3542. [POJ 3585]富集程度

★★★   输入文件:accumulation.in   输出文件:accumulation.out   简单对比
时间限制:1 s   内存限制:256 MiB

【题目描述】

有一个树形的水系,由$n-1$条河道和$n$个交叉点组成。我们可以把交叉点看作树中的节点,编号为$1\sim n$,河道则看作树中的无向边。

每条河道都有一个容量,连接$x$与$y$的河道的容量记为$c(x,y)$。河道中单位时间流过的水量不能超过河道的容量。

有一个节点是整个水系的发源地,可以源源不断地流出水,我们称之为源点。除了源点之外,树中所有度数为 1 的节点都是入海口,可以吸收无限多的水,我们称之为汇点。也就是说,水系中的水从源点出发,沿着每条河道,最终流向各个汇点。

在整个水系稳定时,每条河道中的水都以单位时间固定的水量流向固定的方向。除源点和汇点之外,其余各点不贮存水,也就是流入该点的河道水量之和等于从该点流出的河道水量之和。整个水系的流量就定义为源点单位时间发出的水量。

在流量不超过河道容量的前提下,求哪个点作为源点时,整个水系的流量最大,输出这个最大值。

【输入格式】

输入第一行包含整数$T$,表示共有$T$组测试数据。

每组测试数据,第一行包含整数$n$。

接下来$n-1$行,每行包含三个整数$x,y,z$,表示$x,y$之间存在河道,且河道容量为$z$。

节点编号从1开始。

【输出格式】

每组数据输出一个结果,每个结果占一行。

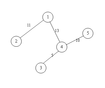
【样例输入】

1
5
1 2 11
1 4 13
3 4 5
4 5 10

【样例输出】

26

【样例说明】

A(1)=11+5+8=24

     1->2     11

     1->4->3   5

     1->4->5   8(因为4->3分走了5个流量)

A(2)=5+6=11

     2->1->4->3  5

     2->1->4->5  6

A(3)=5

     3->4->5    5

A(4)=11+5+10=26

     4->1->2    11

     4->3      5

     4->5      10

A(5)=10 

     5->4->1->2  10

【数据规模与约定】

$n\leq 2\times 10^5$

【来源】

《算法竞赛进阶指南》